北理工欧冠官方网站在笼目晶格材料CsV3Sb5等离激元研究方面取得重要进展
来源: 供稿: 摄影: 审核:陈珂、李翔 作者: 发布时间:2025-09-19 浏览量:

日前,欧冠官方网站姚裕贵教授团队王冲副教授、王秩伟教授与复旦大学物理系的晏湖根教授团队、上海交通大学戴庆教授/国家纳米科学中心胡海研究员团队合作,通过低温显微红外光谱测量技术首次观测到了存在于笼目晶格材料CsV3Sb5薄膜中的范霍夫奇点带间跃迁等离激元(VHS interband plasmon)现象,实现了对等离激元与范霍夫奇点关联激发态间耦合的调控,为在关联电子体系材料中调控光与物质相互作用提供了新途径。相关研究题目为Observation of Van Hove singularity interband plasmons in the kagome metal CsV3Sb5 for strong light- matter interactions,成果被发表在期刊《Science Advances》上【Sci. Adv.11,eadv4476(2025)】。
等离激元的激发、传导、探测和调控作为现代光子学的一个重要分支,在生物、化学、能源和信息等领域显示出重要的应用前景。当关联电子材料与等离激元相结合时,会表现出传统贵金属材料体系不具备的等离激元新颖性质,促进等离激元光电器件的应用发展。然而,关联电子材料等离激元的研究更多停留在理论层面,很多理论预言的新颖现象还有待实验探索。当其中的新颖量子现象与等离激元相互作用时,其性质会如何变化还是个未知领域。因此,寻找一种兼具本征关联性质和等离激元激发能力的材料体系,以研究不同关联电子性质下等离激元的响应行为,具有重要意义。近年来发现的笼目晶格材料CsV3Sb5为此提供了理想平台。该材料表现出丰富的关联量子态,包括电荷密度波、非常规超导以及反常霍尔效应等。这些现象被认为与费米能级附近范霍夫奇点的态密度发散密切相关。同时,它还具有较高的载流子浓度,适于开展远场红外光谱等实验探测,为理解关联体系中等离激元的产生与调控机制创造了优越条件。

图1,CsV3Sb5薄膜以及等离激元器件的红外消光光谱测量。
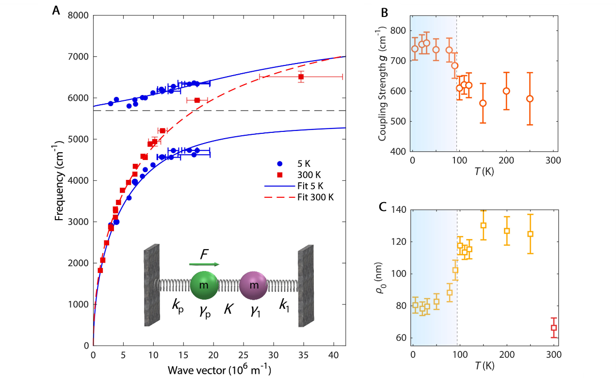
根据以上讨论启发,北理工研究团队通过对笼目金属CsV3Sb5进行机械剥离,成功制备出高质量二维薄膜,并在低温吸收光谱中观测到两个特征吸收峰,分别对应于电荷密度波激发态和范霍夫奇点处的带间跃迁吸收峰(图1)。为探究等离激元与电荷密度波激发态间的耦合现象,研究团队通过将等离激元器件制备在介电常数较低的单晶金刚石衬底上,并精确控制光栅条带的宽度,实现等离激元与电荷密度波激发态耦合模式的探测,发现了等离激元吸收峰受电荷密度波产生影响的异常展宽以及峰位移动现象(图2)。通过更换介电常数更高的CaF2衬底,研究团队将等离激元共振能量调制到范霍夫奇点处带间跃迁能量附近,在低温下成功观测到两者耦合所产生的杂化模式。图3A清晰的展示出在5K下色散曲线呈现的反交叉行为,研究团队将这种模式称为范霍夫奇点带间跃迁等离激元。通过变温实验测量并利用耦合谐振子模型进行分析,发现了耦合强度g在电荷密度波转变温度附近的强调制作用,并且屏蔽长度 也随温度发生明显变化(图3),充分体现出电子关联效应对等离激元行为的深度调控。
也随温度发生明显变化(图3),充分体现出电子关联效应对等离激元行为的深度调控。

图2, CsV3Sb5中等离激元与电荷密度波激发态之间的耦合。

图3,CsV3Sb5范霍夫奇点带间跃迁等离激元色散及其耦合模式温度调控。
这种屏蔽长度 ρ₀ 的强调制作用直接影响高能等离激元的色散关系,为利用关联效应调控等离激元提供了新途径。依托范霍夫奇点带间等离激元的调制效应,所形成的杂化模式也为操控范霍夫奇点动力学提供了光学手段。这一点尤为重要,因为范霍夫奇点与超导、电荷密度波等多种关联态的形成机制密切相关。总体而言,本工作揭示了等离激元与范霍夫奇点相关激发态之间的耦合效应,不仅为光–物质相互作用研究提供了新方法,也开辟了以等离激元作为“光学探针”探索关联材料激发态的新方向。
北理工欧冠官方网站姚裕贵教授及其团队的王冲副教授、复旦大学晏湖根教授、上海交通大学戴庆教授、国家纳米中心胡海研究员为通讯作者,博士生孟祥开为论文第一作者。上述工作得到了国家重点研发计划、国家自然科学基金和北京市自然科学基金等项目的资助。
 
                     
             
            
