Yugui Yao and Junxi Duan’s group report the observation of a giant second-order nonlinear Hall effect in twisted bilayer graphene
来源: 作者: 发布时间:2022-10-31
Recently, Yugui Yao and Junxi Duan’s group in School of Physics, Beijing Institute of Technology, report the observation of a giant second-order nonlinear Hall effect in twisted bilayer graphene. The result was published in Physical Review Letters.
Since the discovery of the Hall effect in 1879, the family of the Hall effects has been largely expanded. The deep understanding of the quantum nature of the transverse velocity of electron enriches the condensed matter physics with the concepts of Berry curvature and topological Chern number. To get nonzero Hall signal in the linear response regime, the time-reversal symmetry should be broken by external magnetic field or in magnets. Recently, a second-order Hall response named nonlinear Hall effect (NLHE) has attracted intense interest. Distinct from the linear Hall effect, the NLHE does not require time-reversal symmetry breaking but inversion symmetry breaking. However, disorder plays an indispensable role in transport response. In the NLHE, disorder can enter even in the leading role, but its experimental investigations are scarce. Moreover, considering the disorder sources, they contribute to the NLHE in a complicate and competing way, described by a multivariable scaling relation with respect to the relaxation time. However, the identification of disorder contributions was over-simplified in previous studies, unable to separate the contributions from different disorder sources. A comprehensive experimental exploration of how different disorder sources are involved in the NLHE, especially the dynamic source, has been lacking.
To study the disorder contributions, the researchers choose twisted bilayer graphene (TBG). A series of exotic properties have been reported in this system in linear-response regime, including correlation-induced insulator and superconductivity at certain magic angles where Coulomb interactions dominate over the kinetic energy of electrons, and topological Chern insulator, ferromagnetism, and quantum anomalous Hall effect stemming from the spin- and valley-resolved moiré bands. Although pristine TBG has a D6 symmetry, it is reduced to C3 by the hexagonal boron nitride substrate, ruling out the intrinsic contribution. In addition, in TBG, a prominent characteristic is the formation of moiré superlattice which folds the Brillouin zone, creating moiré superlattice gaps and modulating the velocity of the Dirac cone. These moiré superlattice gaps are crucial to the NLHE which is generally stronger near the band edge. Moreover, the chemical potential in TBG is gate-tunable, and all the NLHE contributions are chemical-potential sensitive. The disorder contributions to NLHE favor high mobility which is a typical feature of graphene systems.

Figure 1. Giant second-order nonlinear Hall effect in twisted bilayer graphene
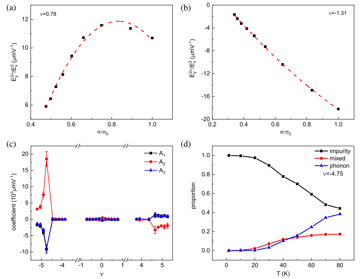
In this study, the researchers report a comprehensive experiment identifying the disorder-related mechanisms of the NLHE in TBG. An extremely large second-order Hall conductivity is observed close to the moiré superlattice gaps, orders higher than the values obtained in WTe2 and twisted WSe2 systems, see Figure 1. The scaling results of the NLHE extracted from temperature-dependent measurements well matches the general scaling relation, with a component which has not been reported. According to the scaling parameters, the researchers identify that the NLHE is dominated by multiple skew-scattering contributions. Especially, the phonon skew-scattering plays a comparable role as the impurity skew-scattering in the NLHE, see Figure 2.

Figure 2. Nonlinear Hall effect mechanisms in twisted bilayer graphene
The research was primary done in Beijing Institute of Technology. Junxi Duan and Yugui Yao in Beijing Institute of Technology and Yang Gao in University of Science and Technology of China are the corresponding authors. Junxi Duan and Yu Jian, graduate student in Beijing Institute of Technology, are the co-first authors. The research was supported by the National Key R&D Program of China, the National Natural Science Foundation of China, the Beijing Natural Science Foundation, the Strategic Priority Research Program of Chinese Academy of Sciences, and the Fundamental Research Funds for the Central Universities, China.
Junxi Duan*,†, Yu Jian†, Yang Gao*, Huimin Peng, Jinrui Zhong, Qi Feng, Jinhai Mao, and Yugui Yao*,“Giant Second-Order Nonlinear Hall Effect in Twisted Bilayer Graphene”,Phys. Rev. Lett. 129, 186801 (2022) (†co-first authors,*corresponding authors)
URL:https://journals.aps.org/prl/abstract/10.1103/PhysRevLett.129.186801
 
                     
             
            
